初中数学 第6页
2023-2024学年七年级下册数学第三章第二节试卷及答案北师大版(Word版)-佑学宝学科网

2023-2024学年七年级下册数学第三章第二节试卷及答案北师大版(Word版)

------预览已结束,还剩5页未读------开通会员后可免费下载高清完整文档
admin的头像-佑学宝学科网钻石会员admin8个月前
02414
八年级(上)数学期末试卷2-1卷苏科版-佑学宝学科网

八年级(上)数学期末试卷2-1卷苏科版

------预览已结束,还剩5页未读------开通会员后可免费下载高清完整文档
admin的头像-佑学宝学科网钻石会员admin8个月前
03114
2023-2024学年云南省楚雄彝族自治州九年级上学期数学期中试题及答案(Word版)-佑学宝学科网

2023-2024学年云南省楚雄彝族自治州九年级上学期数学期中试题及答案(Word版)

------预览已结束,还剩15页未读------开通会员后可免费下载高清完整文档
admin的头像-佑学宝学科网钻石会员admin8个月前
04414
2022-2023学年福建省福州市闽侯县九年级上学期数学期末试题及答案(Word版)-佑学宝学科网

2022-2023学年福建省福州市闽侯县九年级上学期数学期末试题及答案(Word版)

预览已结束,还剩23页未读,开通会员后可免费下载高清完整文档
admin的头像-佑学宝学科网钻石会员admin8个月前
04914
陕西汉中西乡县2023-2024学年七年级上册数学期中试卷及答案北师大版(Word版)-佑学宝学科网

陕西汉中西乡县2023-2024学年七年级上册数学期中试卷及答案北师大版(Word版)

------预览已结束,还剩14页未读------开通会员后可免费下载高清完整文档
admin的头像-佑学宝学科网钻石会员admin8个月前
03014
七年级下册数学期中试卷及答案人教版A卷(Word版)-佑学宝学科网

七年级下册数学期中试卷及答案人教版A卷(Word版)

预览已结束,还剩13页未读,开通会员后可免费下载高清完整文档
admin的头像-佑学宝学科网钻石会员admin8个月前
04114
2023-2024学年七年级下册数学第6章概率初步单元测试卷及答案北师大版(Word版)-佑学宝学科网

2023-2024学年七年级下册数学第6章概率初步单元测试卷及答案北师大版(Word版)

------预览已结束,还剩18页未读------开通会员后可免费下载高清完整文档
admin的头像-佑学宝学科网钻石会员admin8个月前
03014
2023-2024学年七年级下册数学第四章第一节试卷及答案北师大版(Word版)-佑学宝学科网

2023-2024学年七年级下册数学第四章第一节试卷及答案北师大版(Word版)

------预览已结束,还剩5页未读------开通会员后可免费下载高清完整文档
admin的头像-佑学宝学科网钻石会员admin8个月前
04014
2020-2021学年河南省驻马店市平舆县八年级上学期期末数学试题及答案(Word版)-佑学宝学科网

2020-2021学年河南省驻马店市平舆县八年级上学期期末数学试题及答案(Word版)

预览已结束,还剩14页未读,开通会员后可免费下载高清完整文档
admin的头像-佑学宝学科网钻石会员admin8个月前
03314
2020-2021学年北师大版八年级数学下册第五章分式方程同步测试题及答案(Word版)-佑学宝学科网

2020-2021学年北师大版八年级数学下册第五章分式方程同步测试题及答案(Word版)

预览已结束,还剩8页未读,开通会员后可免费下载高清完整文档
admin的头像-佑学宝学科网钻石会员admin8个月前
02913
九年级(上)数学期末试卷4-2卷北师大版-佑学宝学科网

九年级(上)数学期末试卷4-2卷北师大版

------预览已结束,还剩7页未读------开通会员后可免费下载高清完整文档
admin的头像-佑学宝学科网钻石会员admin8个月前
04913
2023-2024学年四川成都简阳市雷家学区七年级下册数学期中试卷及答案(Word版)-佑学宝学科网

2023-2024学年四川成都简阳市雷家学区七年级下册数学期中试卷及答案(Word版)

------预览已结束,还剩11页未读------开通会员后可免费下载高清完整文档
admin的头像-佑学宝学科网钻石会员admin8个月前
02813
2022-2023学年湖南省长沙市天心区九年级上学期数学期末试题及答案(Word版)-佑学宝学科网

2022-2023学年湖南省长沙市天心区九年级上学期数学期末试题及答案(Word版)

------预览已结束,还剩25页未读------开通会员后可免费下载高清完整文档
admin的头像-佑学宝学科网钻石会员admin8个月前
04513
九年级(上)数学期中试卷3-1卷北师大版-佑学宝学科网

九年级(上)数学期中试卷3-1卷北师大版

------预览已结束,还剩9页未读------开通会员后可免费下载高清完整文档
admin的头像-佑学宝学科网钻石会员admin8个月前
04813
2023-2024学年江西省南昌市南昌县八年级下学期期末数学试题及答案(Word版)-佑学宝学科网

2023-2024学年江西省南昌市南昌县八年级下学期期末数学试题及答案(Word版)

------预览已结束,还剩24页未读------开通会员后可免费下载高清完整文档
admin的头像-佑学宝学科网钻石会员admin8个月前
04013
2022-2023学年海南省文昌市下学期八年级期中数学试题及答案(Word版)-佑学宝学科网

2022-2023学年海南省文昌市下学期八年级期中数学试题及答案(Word版)

预览已结束,还剩13页未读,开通会员后可免费下载高清完整文档
admin的头像-佑学宝学科网钻石会员admin8个月前
04313
2023-2024学年山东省济南市章丘区九年级上学期数学期中试题及答案(Word版)-佑学宝学科网

2023-2024学年山东省济南市章丘区九年级上学期数学期中试题及答案(Word版)

------预览已结束,还剩29页未读------开通会员后可免费下载高清完整文档
admin的头像-佑学宝学科网钻石会员admin8个月前
04913
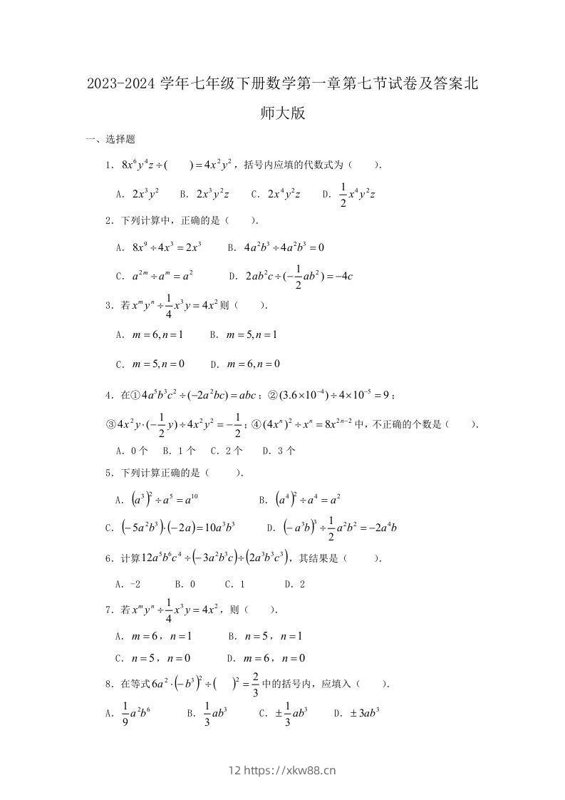
2023-2024学年七年级下册数学第一章第七节试卷及答案北师大版(Word版)-佑学宝学科网

2023-2024学年七年级下册数学第一章第七节试卷及答案北师大版(Word版)

------预览已结束,还剩12页未读------开通会员后可免费下载高清完整文档
admin的头像-佑学宝学科网钻石会员admin8个月前
04613
七年级上册数学第四章检测试卷及答案人教版B卷(Word版)-佑学宝学科网

七年级上册数学第四章检测试卷及答案人教版B卷(Word版)

预览已结束,还剩3页未读,开通会员后可免费下载高清完整文档
admin的头像-佑学宝学科网钻石会员admin8个月前
03113
七年级下册数学期末测试卷及答案人教版(Word版)-佑学宝学科网

七年级下册数学期末测试卷及答案人教版(Word版)

预览已结束,还剩22页未读,开通会员后可免费下载高清完整文档
admin的头像-佑学宝学科网钻石会员admin8个月前
04913
2022-2023学年福建省漳州市九年级上学期数学期中试题及答案(Word版)-佑学宝学科网

2022-2023学年福建省漳州市九年级上学期数学期中试题及答案(Word版)

预览已结束,还剩23页未读,开通会员后可免费下载高清完整文档
admin的头像-佑学宝学科网钻石会员admin8个月前
04713
2023-2024学年四川成都郫都区七年级上册数学期末试卷及答案(Word版)-佑学宝学科网

2023-2024学年四川成都郫都区七年级上册数学期末试卷及答案(Word版)

------预览已结束,还剩19页未读------开通会员后可免费下载高清完整文档
admin的头像-佑学宝学科网钻石会员admin8个月前
02913
2023-2024学年七年级下册数学第五章第一节试卷及答案北师大版(Word版)-佑学宝学科网

2023-2024学年七年级下册数学第五章第一节试卷及答案北师大版(Word版)

------预览已结束,还剩10页未读------开通会员后可免费下载高清完整文档
admin的头像-佑学宝学科网钻石会员admin8个月前
04913
七年级(上)数学期末试卷6-2卷人教版-佑学宝学科网

七年级(上)数学期末试卷6-2卷人教版

------预览已结束,还剩5页未读------开通会员后可免费下载高清完整文档
admin的头像-佑学宝学科网钻石会员admin8个月前
03113