初中数学 第2页
2023-2024学年陕西省西安市高陵区九年级上学期数学第二次月考试题及答案(Word版)-佑学宝学科网

2023-2024学年陕西省西安市高陵区九年级上学期数学第二次月考试题及答案(Word版)

------预览已结束,还剩24页未读------开通会员后可免费下载高清完整文档
admin的头像-佑学宝学科网钻石会员admin8个月前
02615
2023-2024学年陕西省西安市蓝田县九年级上学期数学期末试题及答案(Word版)-佑学宝学科网

2023-2024学年陕西省西安市蓝田县九年级上学期数学期末试题及答案(Word版)

------预览已结束,还剩20页未读------开通会员后可免费下载高清完整文档
admin的头像-佑学宝学科网钻石会员admin8个月前
0516
2023-2024学年陕西省西安市蓝田县九年级上学期数学月考试题及答案(Word版)-佑学宝学科网

2023-2024学年陕西省西安市蓝田县九年级上学期数学月考试题及答案(Word版)

------预览已结束,还剩29页未读------开通会员后可免费下载高清完整文档
admin的头像-佑学宝学科网钻石会员admin8个月前
0508
2023-2024学年陕西省西安市莲湖区九年级上学期数学期末试题及答案(Word版)-佑学宝学科网

2023-2024学年陕西省西安市莲湖区九年级上学期数学期末试题及答案(Word版)

------预览已结束,还剩22页未读------开通会员后可免费下载高清完整文档
admin的头像-佑学宝学科网钻石会员admin8个月前
05014
2023-2024学年陕西省西安市经开区九年级上学期数学期末试题及答案(Word版)-佑学宝学科网

2023-2024学年陕西省西安市经开区九年级上学期数学期末试题及答案(Word版)

------预览已结束,还剩24页未读------开通会员后可免费下载高清完整文档
admin的头像-佑学宝学科网钻石会员admin8个月前
0329
2023-2024学年山东省济南市长清区九年级上学期数学期末试题及答案(Word版)-佑学宝学科网

2023-2024学年山东省济南市长清区九年级上学期数学期末试题及答案(Word版)

------预览已结束,还剩30页未读------开通会员后可免费下载高清完整文档
admin的头像-佑学宝学科网钻石会员admin8个月前
0225
2023-2024学年山东省济南市长清区九年级上学期数学期中试题及答案(Word版)-佑学宝学科网

2023-2024学年山东省济南市长清区九年级上学期数学期中试题及答案(Word版)

------预览已结束,还剩28页未读------开通会员后可免费下载高清完整文档
admin的头像-佑学宝学科网钻石会员admin8个月前
02414
2023-2024学年云南省楚雄彝族自治州九年级上学期数学期末试题及答案(Word版)-佑学宝学科网

2023-2024学年云南省楚雄彝族自治州九年级上学期数学期末试题及答案(Word版)

------预览已结束,还剩19页未读------开通会员后可免费下载高清完整文档
admin的头像-佑学宝学科网钻石会员admin8个月前
0536
2023-2024学年云南省楚雄彝族自治州九年级上学期数学期中试题及答案(Word版)-佑学宝学科网

2023-2024学年云南省楚雄彝族自治州九年级上学期数学期中试题及答案(Word版)

------预览已结束,还剩15页未读------开通会员后可免费下载高清完整文档
admin的头像-佑学宝学科网钻石会员admin8个月前
04414
2023-2024学年云南省玉溪市峨山彝族自治县九年级上学期数学期末试题及答案(Word版)-佑学宝学科网

2023-2024学年云南省玉溪市峨山彝族自治县九年级上学期数学期末试题及答案(Word版)

------预览已结束,还剩20页未读------开通会员后可免费下载高清完整文档
admin的头像-佑学宝学科网钻石会员admin8个月前
0386
2023-2024学年云南省昭通市永善县九年级上学期数学期末试题及答案(Word版)-佑学宝学科网

2023-2024学年云南省昭通市永善县九年级上学期数学期末试题及答案(Word版)

------预览已结束,还剩20页未读------开通会员后可免费下载高清完整文档
admin的头像-佑学宝学科网钻石会员admin8个月前
02911
2023-2024学年云南省玉溪市红塔区九年级上学期数学期末试题及答案(Word版)-佑学宝学科网

2023-2024学年云南省玉溪市红塔区九年级上学期数学期末试题及答案(Word版)

------预览已结束,还剩19页未读------开通会员后可免费下载高清完整文档
admin的头像-佑学宝学科网钻石会员admin8个月前
04812
2023-2024学年云南省曲靖市九年级上学期数学期末试题及答案(Word版)-佑学宝学科网

2023-2024学年云南省曲靖市九年级上学期数学期末试题及答案(Word版)

------预览已结束,还剩19页未读------开通会员后可免费下载高清完整文档
admin的头像-佑学宝学科网钻石会员admin8个月前
0239
2023-2024学年云南省昭通市镇雄县九年级上学期数学期末试题及答案(Word版)-佑学宝学科网

2023-2024学年云南省昭通市镇雄县九年级上学期数学期末试题及答案(Word版)

------预览已结束,还剩15页未读------开通会员后可免费下载高清完整文档
admin的头像-佑学宝学科网钻石会员admin8个月前
0238
2023-2024学年云南省昭通市昭阳区九年级上学期数学期末试题及答案(Word版)-佑学宝学科网

2023-2024学年云南省昭通市昭阳区九年级上学期数学期末试题及答案(Word版)

------预览已结束,还剩18页未读------开通会员后可免费下载高清完整文档
admin的头像-佑学宝学科网钻石会员admin8个月前
04211
2022-2023学年浙江省温州市苍南县八年级下学期期中数学试题及答案(Word版)-佑学宝学科网

2022-2023学年浙江省温州市苍南县八年级下学期期中数学试题及答案(Word版)

------预览已结束,还剩14页未读------开通会员后可免费下载高清完整文档
admin的头像-佑学宝学科网钻石会员admin8个月前
04112
2022-2023学年苏科版八年级数学上册第四章实数单元测试卷及答案(Word版)-佑学宝学科网

2022-2023学年苏科版八年级数学上册第四章实数单元测试卷及答案(Word版)

------预览已结束,还剩9页未读------开通会员后可免费下载高清完整文档
admin的头像-佑学宝学科网钻石会员admin8个月前
04012
2022-2023学年浙江省温州市龙港市八年级上学期期中数学试题及答案(Word版)-佑学宝学科网

2022-2023学年浙江省温州市龙港市八年级上学期期中数学试题及答案(Word版)

------预览已结束,还剩22页未读------开通会员后可免费下载高清完整文档
admin的头像-佑学宝学科网钻石会员admin8个月前
0436
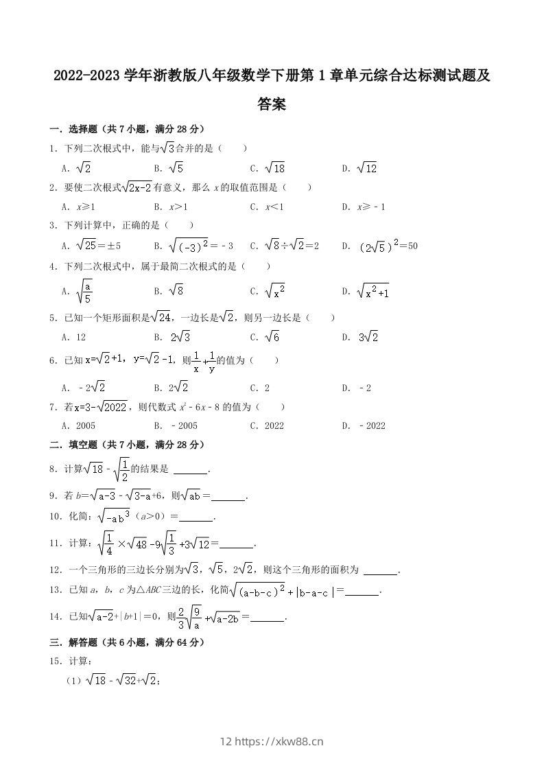
2022-2023学年浙教版八年级数学下册第1章单元综合达标测试题及答案(Word版)-佑学宝学科网

2022-2023学年浙教版八年级数学下册第1章单元综合达标测试题及答案(Word版)

------预览已结束,还剩5页未读------开通会员后可免费下载高清完整文档
admin的头像-佑学宝学科网钻石会员admin8个月前
03313
2022-2023学年浙教版数学八年级上册第一章三角形的初步知识单元测试题及答案(Word版)-佑学宝学科网

2022-2023学年浙教版数学八年级上册第一章三角形的初步知识单元测试题及答案(Word版)

------预览已结束,还剩6页未读------开通会员后可免费下载高清完整文档
admin的头像-佑学宝学科网钻石会员admin8个月前
0239
2022-2023学年浙江省宁波市鄞州区八年级下学期期中数学试题及答案(Word版)-佑学宝学科网

2022-2023学年浙江省宁波市鄞州区八年级下学期期中数学试题及答案(Word版)

------预览已结束,还剩20页未读------开通会员后可免费下载高清完整文档
admin的头像-佑学宝学科网钻石会员admin8个月前
0489
2022-2023学年苏科版八年级数学上册第一章全等三角形单元测试卷及答案(Word版)-佑学宝学科网

2022-2023学年苏科版八年级数学上册第一章全等三角形单元测试卷及答案(Word版)

------预览已结束,还剩14页未读------开通会员后可免费下载高清完整文档
admin的头像-佑学宝学科网钻石会员admin8个月前
03312
2022-2023学年苏科版八年级数学下册第7章单元综合达标测试题及答案(Word版)-佑学宝学科网

2022-2023学年苏科版八年级数学下册第7章单元综合达标测试题及答案(Word版)

------预览已结束,还剩10页未读------开通会员后可免费下载高清完整文档
admin的头像-佑学宝学科网钻石会员admin8个月前
03514
2022-2023学年浙江省金华市东阳市八年级上学期期中数学试题及答案(Word版)-佑学宝学科网

2022-2023学年浙江省金华市东阳市八年级上学期期中数学试题及答案(Word版)

------预览已结束,还剩22页未读------开通会员后可免费下载高清完整文档
admin的头像-佑学宝学科网钻石会员admin8个月前
04414