初中数学 第19页
2022-2023学年人教版八年级数学上册第十二章全等三角形单元检测试题及答案(Word版)-佑学宝学科网

2022-2023学年人教版八年级数学上册第十二章全等三角形单元检测试题及答案(Word版)

预览已结束,还剩7页未读,开通会员后可免费下载高清完整文档
admin的头像-佑学宝学科网钻石会员admin8个月前
02213
2022-2023学年北师大版八年级数学上册第一章章节测试题及答案(Word版)-佑学宝学科网

2022-2023学年北师大版八年级数学上册第一章章节测试题及答案(Word版)

预览已结束,还剩10页未读,开通会员后可免费下载高清完整文档
admin的头像-佑学宝学科网钻石会员admin8个月前
03111
2022-2023学年人教版八年级数学上册第15单元基础知识质量检测试卷及答案(Word版)-佑学宝学科网

2022-2023学年人教版八年级数学上册第15单元基础知识质量检测试卷及答案(Word版)

预览已结束,还剩5页未读,开通会员后可免费下载高清完整文档
admin的头像-佑学宝学科网钻石会员admin8个月前
02910
2022-2023学年华东师大版八年级数学上册第12章整式的乘除单元测试题及答案(Word版)-佑学宝学科网

2022-2023学年华东师大版八年级数学上册第12章整式的乘除单元测试题及答案(Word版)

预览已结束,还剩5页未读,开通会员后可免费下载高清完整文档
admin的头像-佑学宝学科网钻石会员admin8个月前
02214
2022-2023学年河南省许昌市禹州市八年级下学期期中数学试题及答案(Word版)-佑学宝学科网

2022-2023学年河南省许昌市禹州市八年级下学期期中数学试题及答案(Word版)

预览已结束,还剩13页未读,开通会员后可免费下载高清完整文档
admin的头像-佑学宝学科网钻石会员admin8个月前
0255
2022-2023学年广东省揭阳市揭东区八年级上学期期中数学试题及答案(Word版)-佑学宝学科网

2022-2023学年广东省揭阳市揭东区八年级上学期期中数学试题及答案(Word版)

预览已结束,还剩14页未读,开通会员后可免费下载高清完整文档
admin的头像-佑学宝学科网钻石会员admin8个月前
02911
2022-2023学年人教版八年级数学上册第12章全等三角形单元测试题及答案(Word版)-佑学宝学科网

2022-2023学年人教版八年级数学上册第12章全等三角形单元测试题及答案(Word版)

预览已结束,还剩10页未读,开通会员后可免费下载高清完整文档
admin的头像-佑学宝学科网钻石会员admin8个月前
0475
2022-2023学年北师大版八年级数学上册第一章勾股定理单元综合测试题及答案(Word版)-佑学宝学科网

2022-2023学年北师大版八年级数学上册第一章勾股定理单元综合测试题及答案(Word版)

预览已结束,还剩9页未读,开通会员后可免费下载高清完整文档
admin的头像-佑学宝学科网钻石会员admin8个月前
05012
2022-2023学年北师大版八年级数学上册第一章单元测试卷及答案(Word版)-佑学宝学科网

2022-2023学年北师大版八年级数学上册第一章单元测试卷及答案(Word版)

预览已结束,还剩7页未读,开通会员后可免费下载高清完整文档
admin的头像-佑学宝学科网钻石会员admin8个月前
0238
2022-2023学年贵州省遵义市八年级下学期期中数学试题及答案(Word版)-佑学宝学科网

2022-2023学年贵州省遵义市八年级下学期期中数学试题及答案(Word版)

预览已结束,还剩23页未读,开通会员后可免费下载高清完整文档
admin的头像-佑学宝学科网钻石会员admin8个月前
0256
2022-2023学年青岛版八年级数学上册第1章全等三角形单元测试题及答案(Word版)-佑学宝学科网

2022-2023学年青岛版八年级数学上册第1章全等三角形单元测试题及答案(Word版)

预览已结束,还剩2页未读,开通会员后可免费下载高清完整文档
admin的头像-佑学宝学科网钻石会员admin8个月前
0218
2022-2023学年北师大版八年级数学上册第三章位置与坐标单元测试题及答案(Word版)-佑学宝学科网

2022-2023学年北师大版八年级数学上册第三章位置与坐标单元测试题及答案(Word版)

预览已结束,还剩6页未读,开通会员后可免费下载高清完整文档
admin的头像-佑学宝学科网钻石会员admin8个月前
03412
2020-2021学年湘教版八年级数学下册第3章图形与坐标单元测试题及答案(Word版)-佑学宝学科网

2020-2021学年湘教版八年级数学下册第3章图形与坐标单元测试题及答案(Word版)

预览已结束,还剩6页未读,开通会员后可免费下载高清完整文档
admin的头像-佑学宝学科网钻石会员admin8个月前
0206
2021-2022学年冀教版八年级数学上册第15章二次根式单元测试卷及答案(Word版)-佑学宝学科网

2021-2022学年冀教版八年级数学上册第15章二次根式单元测试卷及答案(Word版)

预览已结束,还剩4页未读,开通会员后可免费下载高清完整文档
admin的头像-佑学宝学科网钻石会员admin8个月前
0297
2020-2021学年北师大版八年级数学下册第五章认识分式同步测试题及答案(Word版)-佑学宝学科网

2020-2021学年北师大版八年级数学下册第五章认识分式同步测试题及答案(Word版)

预览已结束,还剩9页未读,开通会员后可免费下载高清完整文档
admin的头像-佑学宝学科网钻石会员admin8个月前
04814
2022-2023学年北师大版八年级数学上册第七章平行线的证明单元测试题及答案(Word版)-佑学宝学科网

2022-2023学年北师大版八年级数学上册第七章平行线的证明单元测试题及答案(Word版)

预览已结束,还剩3页未读,开通会员后可免费下载高清完整文档
admin的头像-佑学宝学科网钻石会员admin8个月前
03610
2021-2022学年人教版八年级数学下册第16章二次根式单元测试题及答案(Word版)-佑学宝学科网

2021-2022学年人教版八年级数学下册第16章二次根式单元测试题及答案(Word版)

预览已结束,还剩7页未读,开通会员后可免费下载高清完整文档
admin的头像-佑学宝学科网钻石会员admin8个月前
0309
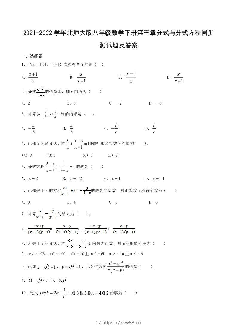
2021-2022学年北师大版八年级数学下册第五章分式与分式方程同步测试题及答案(Word版)-佑学宝学科网

2021-2022学年北师大版八年级数学下册第五章分式与分式方程同步测试题及答案(Word版)

预览已结束,还剩8页未读,开通会员后可免费下载高清完整文档
admin的头像-佑学宝学科网钻石会员admin8个月前
0447
2020-2021学年北师大版八年级数学下册第五章分式的乘除法同步测试题及答案(Word版)-佑学宝学科网

2020-2021学年北师大版八年级数学下册第五章分式的乘除法同步测试题及答案(Word版)

预览已结束,还剩8页未读,开通会员后可免费下载高清完整文档
admin的头像-佑学宝学科网钻石会员admin8个月前
04411
2022-2023学年北师大版八年级数学上册第七章章节测试题及答案(Word版)-佑学宝学科网

2022-2023学年北师大版八年级数学上册第七章章节测试题及答案(Word版)

预览已结束,还剩8页未读,开通会员后可免费下载高清完整文档
admin的头像-佑学宝学科网钻石会员admin8个月前
04211
2020-2021学年北师大版八年级数学下册第二章同步检测试题及答案(Word版)-佑学宝学科网

2020-2021学年北师大版八年级数学下册第二章同步检测试题及答案(Word版)

预览已结束,还剩4页未读,开通会员后可免费下载高清完整文档
admin的头像-佑学宝学科网钻石会员admin8个月前
04013
2022-2023学年北师大版八年级数学上册第六章数据的分析单元测试题及答案(Word版)-佑学宝学科网

2022-2023学年北师大版八年级数学上册第六章数据的分析单元测试题及答案(Word版)

预览已结束,还剩3页未读,开通会员后可免费下载高清完整文档
admin的头像-佑学宝学科网钻石会员admin8个月前
04213
2020-2021学年北师大版八年级数学下册第五章同步单元训练试卷及答案(Word版)-佑学宝学科网

2020-2021学年北师大版八年级数学下册第五章同步单元训练试卷及答案(Word版)

预览已结束,还剩2页未读,开通会员后可免费下载高清完整文档
admin的头像-佑学宝学科网钻石会员admin8个月前
03414
2021-2022学年人教版八年级数学下册第十八章平行四边形单元检测试卷及答案(Word版)-佑学宝学科网

2021-2022学年人教版八年级数学下册第十八章平行四边形单元检测试卷及答案(Word版)

预览已结束,还剩6页未读,开通会员后可免费下载高清完整文档
admin的头像-佑学宝学科网钻石会员admin8个月前
02215