初中数学 第11页
2023-2024学年七年级下册数学第五章第三节试卷及答案北师大版(Word版)-佑学宝学科网

2023-2024学年七年级下册数学第五章第三节试卷及答案北师大版(Word版)

------预览已结束,还剩10页未读------开通会员后可免费下载高清完整文档
admin的头像-佑学宝学科网钻石会员admin8个月前
0276
2023-2024学年七年级下册数学第五章第一节试卷及答案北师大版(Word版)-佑学宝学科网

2023-2024学年七年级下册数学第五章第一节试卷及答案北师大版(Word版)

------预览已结束,还剩10页未读------开通会员后可免费下载高清完整文档
admin的头像-佑学宝学科网钻石会员admin8个月前
04913
河北张家口桥东区2022-2023学年七年级下册数学期中试卷及答案北师大版(Word版)-佑学宝学科网

河北张家口桥东区2022-2023学年七年级下册数学期中试卷及答案北师大版(Word版)

------预览已结束,还剩5页未读------开通会员后可免费下载高清完整文档
admin的头像-佑学宝学科网钻石会员admin8个月前
05115
江西赣州2022-2023学年七年级下册数学期中试卷及答案北师大版(Word版)-佑学宝学科网

江西赣州2022-2023学年七年级下册数学期中试卷及答案北师大版(Word版)

------预览已结束,还剩5页未读------开通会员后可免费下载高清完整文档
admin的头像-佑学宝学科网钻石会员admin8个月前
0287
江苏泰州姜堰区2022-2023学年七年级下册数学期中试卷及答案北师大版(Word版)-佑学宝学科网

江苏泰州姜堰区2022-2023学年七年级下册数学期中试卷及答案北师大版(Word版)

------预览已结束,还剩5页未读------开通会员后可免费下载高清完整文档
admin的头像-佑学宝学科网钻石会员admin8个月前
04910
山东枣庄滕州2022-2023学年七年级下册数学期末试卷及答案北师大版(Word版)-佑学宝学科网

山东枣庄滕州2022-2023学年七年级下册数学期末试卷及答案北师大版(Word版)

------预览已结束,还剩5页未读------开通会员后可免费下载高清完整文档
admin的头像-佑学宝学科网钻石会员admin8个月前
0358
山东枣庄2022-2023学年七年级下册数学期中试卷及答案北师大版(Word版)-佑学宝学科网

山东枣庄2022-2023学年七年级下册数学期中试卷及答案北师大版(Word版)

------预览已结束,还剩6页未读------开通会员后可免费下载高清完整文档
admin的头像-佑学宝学科网钻石会员admin8个月前
02614
四川绵阳盐亭县2022-2023学年七年级下册数学期末试卷及答案北师大版(Word版)-佑学宝学科网

四川绵阳盐亭县2022-2023学年七年级下册数学期末试卷及答案北师大版(Word版)

------预览已结束,还剩4页未读------开通会员后可免费下载高清完整文档
admin的头像-佑学宝学科网钻石会员admin8个月前
02915
2023-2024学年七年级下册数学第四章第二节试卷及答案北师大版(Word版)-佑学宝学科网

2023-2024学年七年级下册数学第四章第二节试卷及答案北师大版(Word版)

------预览已结束,还剩6页未读------开通会员后可免费下载高清完整文档
admin的头像-佑学宝学科网钻石会员admin8个月前
0349
2023-2024学年七年级下册数学第四章第三节试卷及答案北师大版(Word版)-佑学宝学科网

2023-2024学年七年级下册数学第四章第三节试卷及答案北师大版(Word版)

------预览已结束,还剩16页未读------开通会员后可免费下载高清完整文档
admin的头像-佑学宝学科网钻石会员admin8个月前
0229
2023-2024学年七年级下册数学第二章第四节试卷及答案北师大版(Word版)-佑学宝学科网

2023-2024学年七年级下册数学第二章第四节试卷及答案北师大版(Word版)

------预览已结束,还剩4页未读------开通会员后可免费下载高清完整文档
admin的头像-佑学宝学科网钻石会员admin8个月前
04111
2023-2024学年七年级下册数学第二章第二节试卷及答案北师大版(Word版)-佑学宝学科网

2023-2024学年七年级下册数学第二章第二节试卷及答案北师大版(Word版)

------预览已结束,还剩11页未读------开通会员后可免费下载高清完整文档
admin的头像-佑学宝学科网钻石会员admin8个月前
04710
2023-2024学年七年级下册数学第二章第三节试卷及答案北师大版(Word版)-佑学宝学科网

2023-2024学年七年级下册数学第二章第三节试卷及答案北师大版(Word版)

------预览已结束,还剩8页未读------开通会员后可免费下载高清完整文档
admin的头像-佑学宝学科网钻石会员admin8个月前
0476
2023-2024学年七年级下册数学第二章第一节试卷及答案北师大版(Word版)-佑学宝学科网

2023-2024学年七年级下册数学第二章第一节试卷及答案北师大版(Word版)

------预览已结束,还剩10页未读------开通会员后可免费下载高清完整文档
admin的头像-佑学宝学科网钻石会员admin8个月前
0286
2023-2024学年七年级下册数学第三章第四节试卷及答案北师大版(Word版)-佑学宝学科网

2023-2024学年七年级下册数学第三章第四节试卷及答案北师大版(Word版)

------预览已结束,还剩5页未读------开通会员后可免费下载高清完整文档
admin的头像-佑学宝学科网钻石会员admin8个月前
05015
2023-2024学年七年级下册数学第三章第五节试卷及答案北师大版(Word版)-佑学宝学科网

2023-2024学年七年级下册数学第三章第五节试卷及答案北师大版(Word版)

------预览已结束,还剩3页未读------开通会员后可免费下载高清完整文档
admin的头像-佑学宝学科网钻石会员admin8个月前
0475
2023-2024学年七年级下册数学第三章第二节试卷及答案北师大版(Word版)-佑学宝学科网

2023-2024学年七年级下册数学第三章第二节试卷及答案北师大版(Word版)

------预览已结束,还剩5页未读------开通会员后可免费下载高清完整文档
admin的头像-佑学宝学科网钻石会员admin8个月前
02414
2023-2024学年七年级下册数学第三章第三节试卷及答案北师大版(Word版)-佑学宝学科网

2023-2024学年七年级下册数学第三章第三节试卷及答案北师大版(Word版)

------预览已结束,还剩3页未读------开通会员后可免费下载高清完整文档
admin的头像-佑学宝学科网钻石会员admin8个月前
03712
2023-2024学年七年级下册数学第三章第一节试卷及答案北师大版(Word版)-佑学宝学科网

2023-2024学年七年级下册数学第三章第一节试卷及答案北师大版(Word版)

------预览已结束,还剩5页未读------开通会员后可免费下载高清完整文档
admin的头像-佑学宝学科网钻石会员admin8个月前
04315
2023-2024学年七年级下册数学第一章第四节试卷及答案北师大版(Word版)-佑学宝学科网

2023-2024学年七年级下册数学第一章第四节试卷及答案北师大版(Word版)

------预览已结束,还剩13页未读------开通会员后可免费下载高清完整文档
admin的头像-佑学宝学科网钻石会员admin8个月前
0485
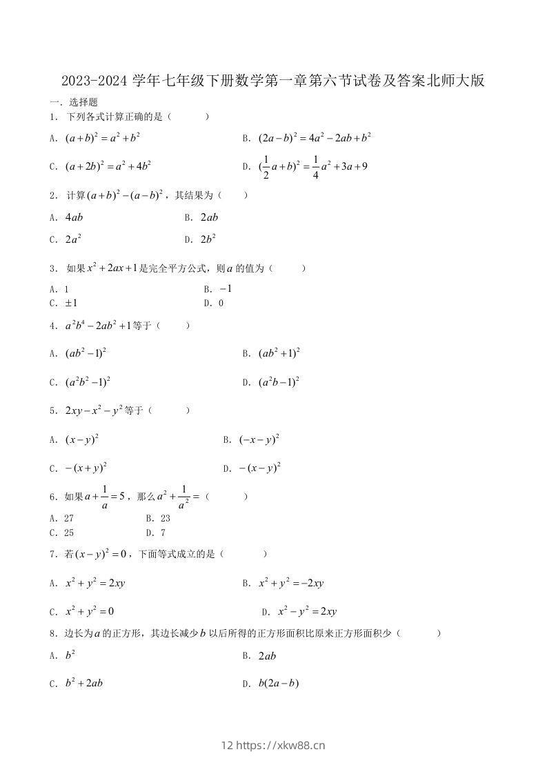
2023-2024学年七年级下册数学第一章第六节试卷及答案北师大版(Word版)-佑学宝学科网

2023-2024学年七年级下册数学第一章第六节试卷及答案北师大版(Word版)

------预览已结束,还剩9页未读------开通会员后可免费下载高清完整文档
admin的头像-佑学宝学科网钻石会员admin8个月前
02610
2023-2024学年七年级下册数学第一章第五节试卷及答案北师大版(Word版)-佑学宝学科网

2023-2024学年七年级下册数学第一章第五节试卷及答案北师大版(Word版)

------预览已结束,还剩5页未读------开通会员后可免费下载高清完整文档
admin的头像-佑学宝学科网钻石会员admin8个月前
0265
2023-2024学年七年级下册数学第一章第二节试卷及答案北师大版(Word版)-佑学宝学科网

2023-2024学年七年级下册数学第一章第二节试卷及答案北师大版(Word版)

------预览已结束,还剩6页未读------开通会员后可免费下载高清完整文档
admin的头像-佑学宝学科网钻石会员admin8个月前
04715
2023-2024学年七年级下册数学第一章第三节试卷及答案北师大版(Word版)-佑学宝学科网

2023-2024学年七年级下册数学第一章第三节试卷及答案北师大版(Word版)

------预览已结束,还剩10页未读------开通会员后可免费下载高清完整文档
admin的头像-佑学宝学科网钻石会员admin8个月前
04414